届时,考生、家长可与高校深入交流互动,详细了解学校招生政策、专业特色、人才培养、就业情况等信息。我省普通高招现场及网上咨询活动为服务性、公益性活动,不收取高校、考生和家长任何费用。
从今天起
各地2025高考成绩开始陆续公布
上海市将于今天(6月23日)14时
开放成绩查询系统
各地的具体出分时间如下——

接下来
2025高考志愿填报工作也即将启动
小编为大家带来
2021~2024近四年
河南高招录取分数线及分数段汇总
赶紧来看看
↓↓↓
2024年河南高招录取分数线及分数段

图源:河南省教育考试院
理科








文科








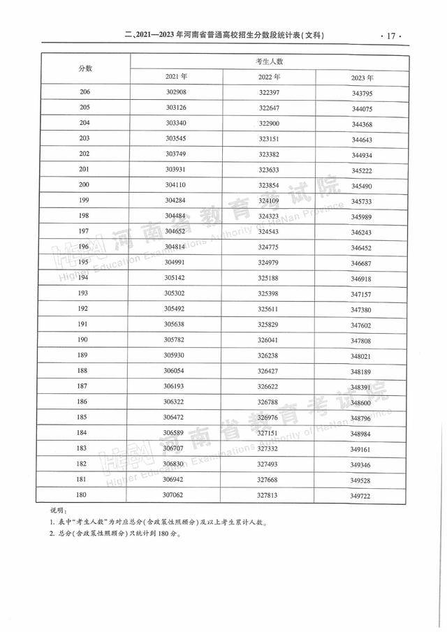
2021—2023河南高招录取分数线及分数段

理科











文科
















“新高考”落地志愿填报与改革前有什么不同?
志愿填报单位
改革前:
主要以院校为志愿填报单位,1所院校即为1个志愿填报单位,按“1所院校+多个专业”的方式进行志愿填报,在院校内选择专业志愿和是否同意专业调剂。
改革后:
主要以院校专业组或“专业+院校”为志愿填报单位。在实行院校专业组平行志愿的批次中,1个院校专业组为1个志愿填报单位,在该院校专业组内选择1—6个专业志愿和是否同意专业调剂;
在实行“专业+院校”平行志愿的批次中,“1个专业+1个院校”为1个志愿填报单位,不设是否同意专业调剂选项。
志愿填报数量
改革前:
实行平行志愿投档的批次,改革前普通类普遍设置12个院校志愿。艺术类、体育类普遍设置35个“专业+院校”志愿;
改革后:
改革后,普通本科批、普通高职(专科)批设置48个院校专业组平行志愿;普通本科提前批、普通高职(专科)提前批,艺术本科批、艺术高职(专科)批,体育本科批、体育高职(专科)批均设置64个“专业+院校”平行志愿。总体来看,增加了志愿填报数量和考生选择机会,更有利于考生被录取。
志愿填报要求
改革前:
考生按照自己所报考的科类(文史类、理工类)填报志愿。
改革后:
考生须根据自己的选择性考试科目,对照高校招生专业的选考科目要求,填报相应志愿。
来源:河南省教育考试院、河南教育广播


