云上融媒新媒体中心发布
昆明市西山区农村信用合作联社
贷记卡债权催收公告
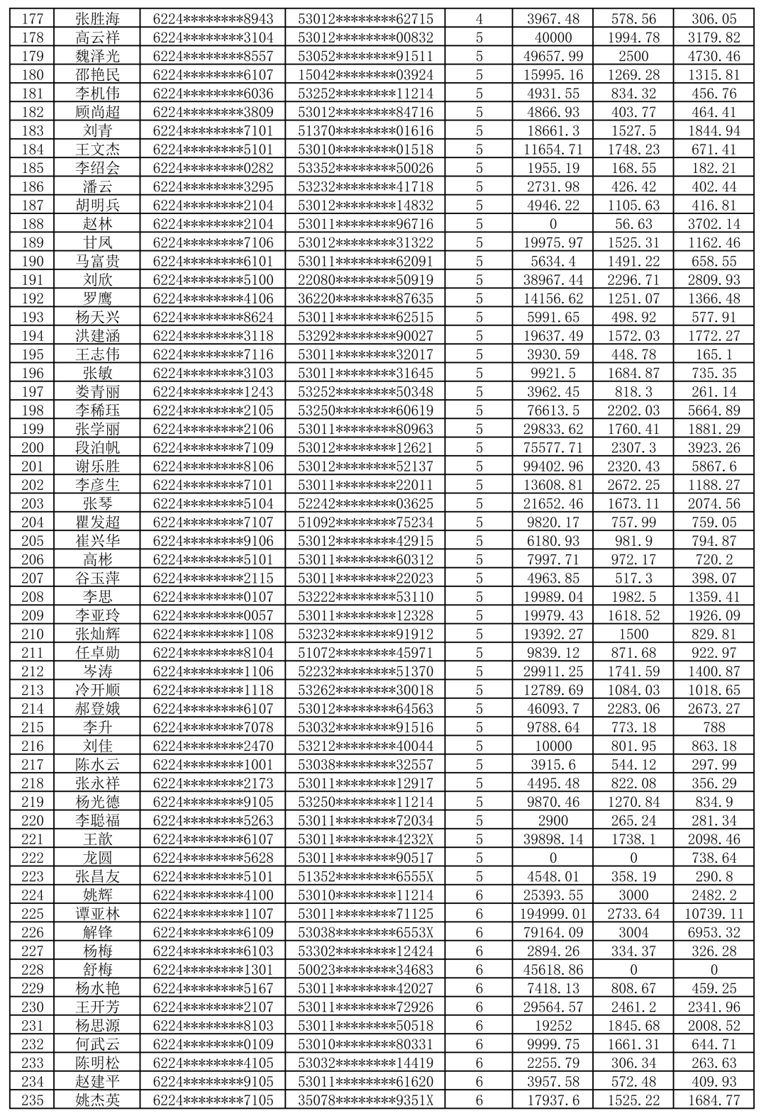
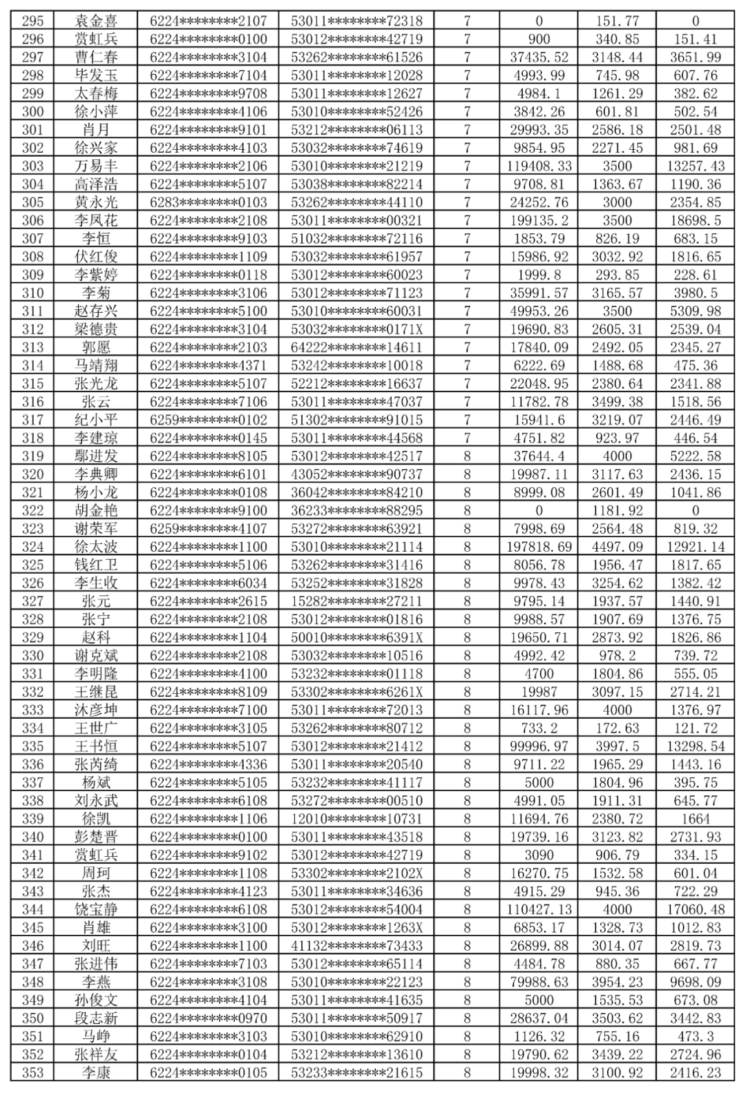
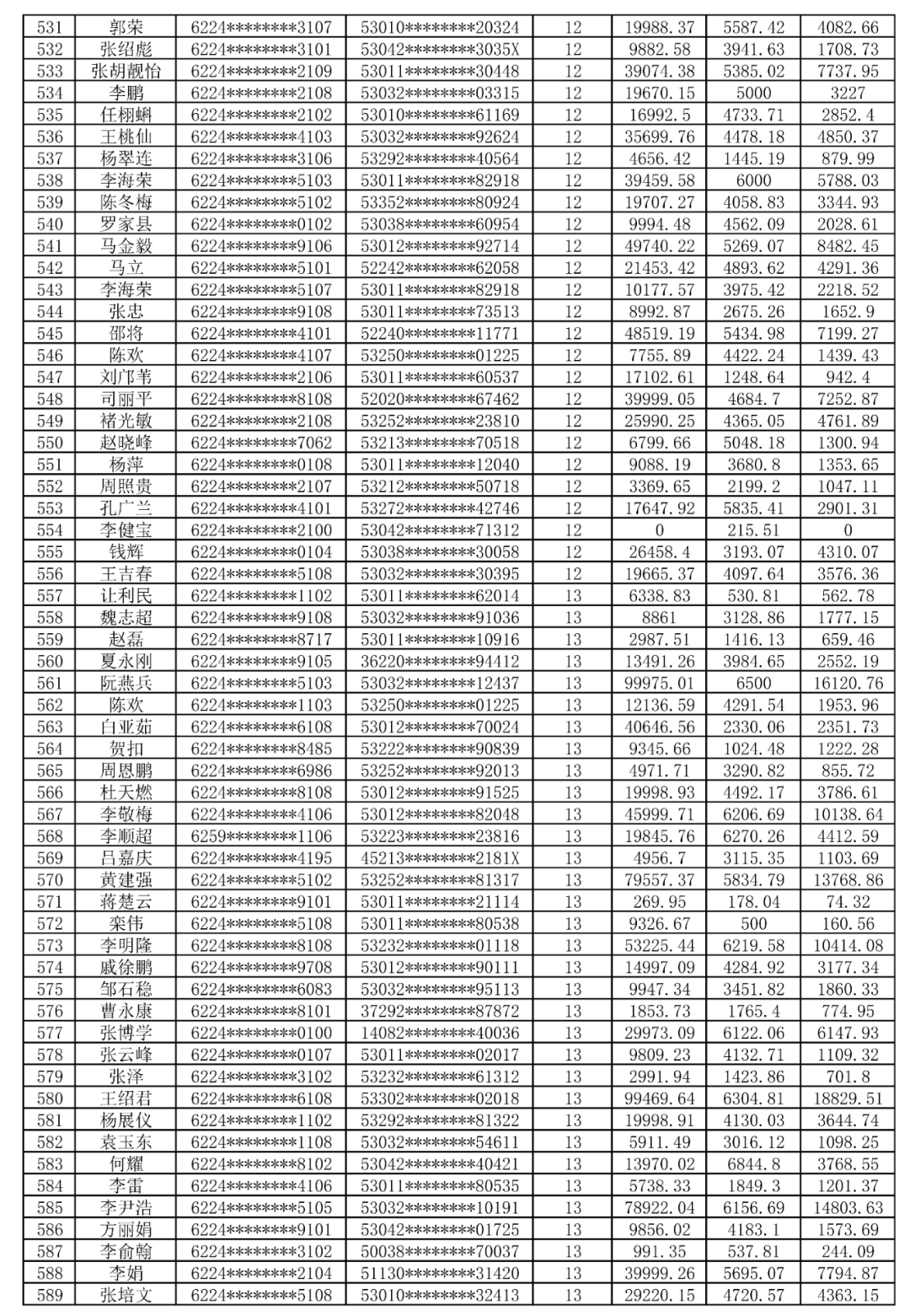
1.昆明市西山区农村信用合作联社(以下简称“我社”)现对以下持我社贷记卡的持卡人所持贷记卡项下的欠款(包括本金、所产生的利息及费用等)进行公告催收。
2.本公告所称贷记卡均为昆明市西山区农村信用合作联社发行的贷记卡。本催收公告中所列的欠款金额系依照《云南省农村信用社金碧贷记卡章程》、《云南省农村信用社金碧贷记卡领用合约》及中国人民银行的相关规定计算,截至2026年2月25日的欠款金额(本金利息金额可向我社查询)。请以下持卡人在本公告发布之日起15日内向我社履行还款义务。本公告中的欠款金额如存在刊登错误,以最终核对的金额为准。
特此公告。
昆明市西山区农村信用合作联社
2026年2月25日























































来源:昆明市西山区农村信用合作联社


